O planeta din afara sistemului nostru solar trimite o unda de soc spre Pamant! Ce spun cercetatorii
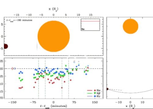
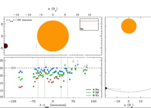
HD 189733b se afla la 63 de ani-lumina de noi. Este planeta de tipul "Jupiter fierbinte" care se apropie cel mai mult de Pamant.
Astronomii de la Universitatea americana Wesleyan au detectat pe Pamant unde de soc produse de o exoplaneta de tipul "Jupiter fierbinte". Datele oamenilor de stiinta indica faptul ca in jurul acestea se afla un camp magnetic incredibil de puternic.
Planetele acestea se numesc "Jupiter fierbinte" pentru ca au multe caracteristici in comun cu gigantul gazos din sistemul nostru solar, insa au o temepratura la suprafata mult mai mare.
Planeta in cazua, HD 189733b, se afla la 63 de ani-lumina de noi. Este, practic, cea mai mica distanta de tranzit a unui "Jupiter fierbinte" observat pana acum, scrie Gizmodo..
Planeta are o masa cu 13% mai mare decat cea a lui Jupiter si se roteste in jurul stelei sale cu 152 km/s.

Astfel de observatii ii ajuta pe oamenii de stiinta sa inteleaga mai bine planetele din sistemul nostru solar.